Depto. Química Orgánica

DIELS - ALDER CYCLOADDITION: REGIOCHEMISTRY AND STEREOCHEMISTRY

Image Link UAM Excelencia UAM Facultad Ciencias UAM
15/07/2017
page counter
Stereochemistry of Diels-Alder cycloaddition('The cube trick')
Where I am Problems and exercises Molecular panel Home
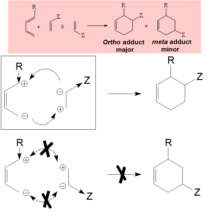
REGIOCHEMISTRY
When diene and dienophile bear substituents two different regiochemical approaches are possible.
Yet, a well known experimental fact is that the "meta" adduct is NEVER the major component.
ImageImage
STEREOCHEMISTRY
Relative to the dienophile, the addition is ALWAYS syn:
The cis groups in the olefin keep on being cis in the resulting cyclohexene.
 The trans groups in the olefin keep on being trans in the resulting cyclohexene.
Image
Image
Image
The addition is also syn concerning the diene:
Image
Image
Image
When the diene is cyclic and the dienophile is non-symmetric, there are two posible addition stereochemistries, so-called exo and endo.
The endo adduct usually predominates:
Image The dienophile adds with the R group poised to the inside (endo) of the diene system, leading to a bicycle (norbornene) with the R group in endo arrangement.
Image The dienophile adds with the R group pointing to the outside (exo) of the diene system, yielding a bicycle (norbornene) with the R group in exo arrangement.
Image
Image
"THE CUBE TRICK"
Image
IMPORTANT: In all cases, if the final adducts end up with new stereocenters and the starting materials are not enantiomerically pure, the final products must be RACEMIC.